物性計測
分光計測および計測装置
分光器(モノクロメーター)
(JOBIN-YVON, IGA-512)
(浜ホト, R1767)
TRIAX-550
Highest spectral resolution of 0.05 nm (effective value)
透過スペクトル計測のセットアップ
透過スペクトル計測例
吸収係数を計測したほうがいい理由
同じ0.5at%のNd添加濃度でオーダーした試料であるにもかかわらず、Ndによる光吸収の大きさはことなっている。
濃度指定して業者から光学結晶を購入しても、正しい濃度かどうかを判断する手段が無い。
幸いなことに濃度そのものは設計パラメータとしては二次的。最低限必要なパラメータは自分で計測したい
Y. Sato and T. Taira, IEEE JSTQE 11, 613 (2005).

蛍光スペクトル計測のセットアップ
蛍光スペクトル計測例
数10℃の温度変化で、共振器の熱変調のみならず、利得自体が変化
Y.Sato and T.Taira, Opt. Mat. Express 2, 1076 (2012).
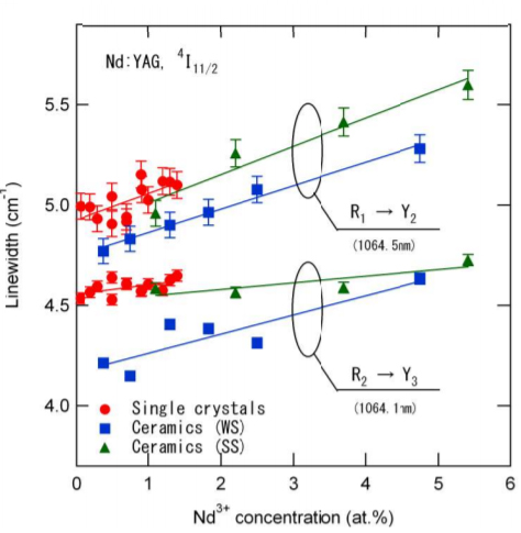
同種材料でも異なる分光特性
Nd:YAG, Transition between 4F3/2 → 4/11/2
極端な話、物性値とはいえNd濃度、製法、製造ロットに依存している
Y.Sato and T.Taira, Opt. Mat. Express 1, 514 (2011).
時間分解蛍光計測のセットアップ
この実験配置では分光器は励起光などの迷光除去フィルターとして用いられている
時間分解計測例
2.0at.% Nd:YAG単結晶
商品名 “Super YAG” by FEE
Measured by photo-multiplier (R1767, Hamamatsu PK)
Pumped by 808nm OPO-output (MOPO-HF, Spectra Physics)
Filtered by monochrometer (TRIAX-550, JOBIN YBON)
蛍光寿命評価法:V.Lupei et al., JOSAB 19, 360 (2002).
励起直後の蛍光緩和を考慮
CNYAG-57 167us
CNYAG-62 182us
CNYAG-67 187us
↓
蛍光量子効率
CNYAG-57 167/280=0.60
CNYAG-62 182/280=0.65
CNYAG-67 187/280=0.67
従来の指数関数フィット
CNYAG-57 201us
CNYAG-62 215us
CNYAG-67 217us
↓
蛍光量子効率
CNYAG-57 201/250=0.80
CNYAG-62 215/250=0.86
CNYAG-67 217/250=0.87
その他の利用可能な分光器
1m分光器 Res.=0.01nm (日本分光, CT-100C) ※現在はSPring-8に設置
25cm分光器 Res.=0.4nm(日本分光, CT-25)
屈折率計測
最小偏角法 W. L. Bond, JAP 36, 1674 (1965).
プリズムに光を入射した際、入射光と出射光の角度は、プリズムへの入射角とプリズムからの出射角が等しくなった時に最小の値を取る
分光計(V-30D、島津製作所)(現在はSPring-8に設置)
計測誤差 ~0.003
ステージの上にプリズムを載せ、ステージを回転させて最小となる入射光と出射光の角度を計測
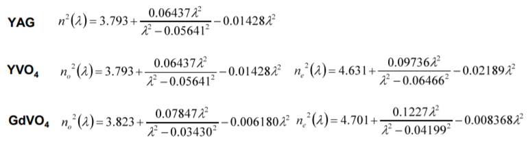
屈折率計測例
屈折率の波長依存性(セルマイヤーの式)
1at.%のNd添加による屈折率差は計測誤差以下
Y.Sato and T.Taira, Opt. Mat. Express 4, 876 (2014).
フーリエ変換赤外分光
光学フォノンの観察装置
赤外反射および吸収を計測し、遷移双極子をつくる振動モードを同定
- 赤外領域における希土類による吸収の計測
- 赤外領域における光学窓として性能(波長帯域など)を評価
一般的な用法はIRデータベースと比較することで主成分分析(有機物および一部の無機物)に供される
フーリエ変換赤外分光計測例
光学フォノン特性(赤外吸収端)は製法や製造ロットなどにほとんど依存しないが、希土類添加量で変化
2000cm-1近傍でのNd吸収
Y.Sato et al., ICL`08, Lyon, France, July 7-11, Tu-P-62 (2008).
熱物性計測および計測装置
常包, 平等, 第54回 応用物理学関係連合講演会, 27p-J-9
Stress induced birefringence

Stress induced lensing

Thermal lensing

従来からの報告値と実測値の比較
室温における熱伝導率(c-axis)
YAG: 10.5W/mk(従来値)→ 10.1W/mk
YVO4: 5.1W/mk(従来値)→ 12.1W/mk
GdVO4: 11.1W/mk(従来値)→ 10.4W/mk
Y.Sato and T.Taira, Opt. Express, 14, 10528 (2006).
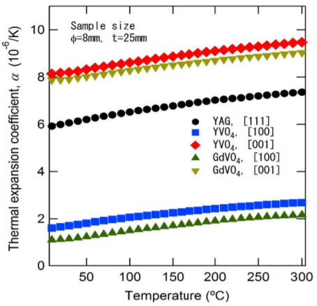
室温における熱膨張係数(a-axis)
YAG: 2.5×10-6/k(従来値)→ 6.13×10-6/k
YVO4: 4.43×10-6/k(従来値)→ 1.76×10-6/k
GdVO4: 2.16×10-6/k(従来値)→ 1.19×10-6/k
Y.Sato and T.Taira, Opt. Express, 4, 876 (2014).
0α of YVO4 0.3~13.5× 10-6/K
P.A Loiko et al., April. Opt. 52, 698 (2013)
Z.Huang et al., J. Slo. Stat. Chem. 185, 42 (2012).
熱伝達係数計測装置
均一な強度分布を持つ光を試料に照射して、負荷された熱量による温度変化速度から熱拡散係数を計測。
熱伝導率計測の例
熱伝導率kは熱拡散係数Dと密度p、比熱CPの積で与えられる。
k=pCPD 繰り返し誤差: 1%以下


Y.Sato and T.Taira, Opt. Express, 14, 10528 (2006).
疑似一次元熱拡散法

赤外輻射の影響低減

比熱計測装置(導入予定)
NETZSCH DSC204 F1 / μ-sensor
Sample size: φ5 × 1mm/Reference:Sapphire
示差走査熱量計測(DSC)の原理(Difference scanning calorimetry)
熱膨張係数計測装置(導入予定)
熱膨張係数の計測手法
比熱および熱膨張計測の例
定圧比熱
試料サイズ:φ5×1mm/昇温レート:10℃/min
Y. Sato and T. Taira, Opt. Mat. Express 4, 876 (2014).
線膨張係数
Sample size: φ8.0×25.0mm/Heating rate:4K/min
Under flowing He (50ml/min)
YAG (Scientific Materials), YVO4 (ITI Electro-optics), GdVO4 (Shandong Newphotons)
密度計測装置
密度はアルキメデス法により求める(液体浸漬による重量変化を利用)
かさ密度計測装置
密度には様々な種類があり、水を使ったアルキメデス法は『見かけ密度』の計測
真密度計測(細孔も内部の空隙も体積に含めない):流体としてHeを使用 見かけ密度計測(細孔以外の内部の空隙は体積に含める):液体を使用 かさ密度計測(細孔も内部の空隙は体積に含める:疑似流体を使用
圧粉体など水中に浸漬できない資料については、シリンダー中に資料と平均粒径120umの疑似流体(DRYFLO™)を充填し、疑似流体の量から資料の体積(かさ)を見積る
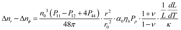
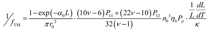
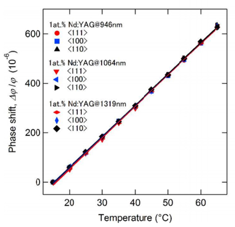
屈折率温度係数計測
YAGのdn/dT 従来報告値:2.5 ~ 8.2×10-6/K
X.Xu et al., J.Cryst. Growth 262, 317 (2004).
K.Wu et al., JOSA B 29, 2320 (2012).
透過光の強度変調
Sample thickness
YAG: 0.2mm (Castech) / YVO4: 0.2mm (ITI Electro-optics)
位相差と熱膨張率からdn/dTを評価


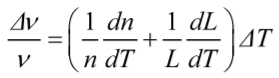
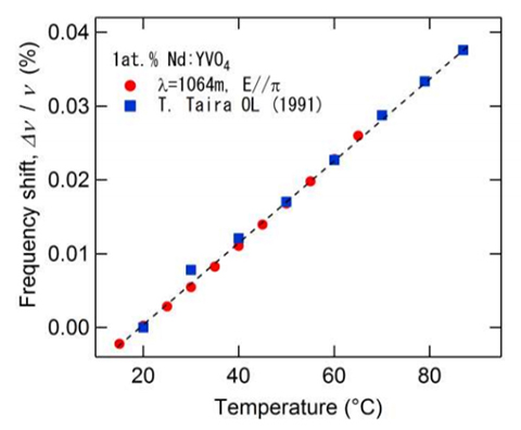
dn/dT と dL/dT
マイクロチップレーザー発振波長の温度チューニング

周波数シフトは透過光の位相差と等しい。

T.Taira et al., Opt. Lett, 16, 1955-1957 (1991).
YAGの熱膨張係数について
YAGの線膨張係数には異方性があると信じられていた。
W.Koechner “Solid-State Laser Engineering 6th ed.” (2006) p.55.
熱膨張係数は屈折率と同じ2下位テンソル量

従って立方晶系結晶では等方的である。
実際に温度による位相変調には異方性が無い

Y.Sato and T.Taira Opt. Mat. Express 4, 876 (2014).
理論計算で求める物性値
理論計算で物性値を求めることが適切である状況
- 試料により値がばらつかない物性値を求める場合
- 物性値を正確に導出するための計測資料が不足している場合
- 物性値を計測するための計測装置が整備されていない場合
Judd-Ofelt解析
自然放出寿命は希土類間相互作用が無い状態での蛍光寿命
異なる希土類添加濃度を有する多数の試料の蛍光寿命におけるNd添加量依存性の外挿から評価
Nd: YAGの自然放出寿命は280 us
V. Lupei et al., Phys. Rev. B 64, 092102 (2001).

J-O解析とは、蛍光分岐率に関する結晶場効果を3つのΩパラメータに還元することで、透過スペクトルから自然放出寿命を推定するという近似手法



Hybrid method
異方性材料の誘導放出断面積導出には各偏向成分における自然放出ルートが必要
↓
J-O解析と蛍光分光の双方が必要



Y.Sato and T.Taira, IEEE JSTQE 11, 613 (2005).
第一原理計算
計算可能な物理量
全電子エネルギー、電子バンド構造、フォノン分散、密度、エンタルピー、音速、平衡電位、界面エネルギー、吸着エネルギー、化学反応経路、磁歪、仕事関数、応カテンソル、電子親和力・・・など
第一原理計算による導出に適した物性値
計測に大型の単結晶が必要な物性値(ヤング率、ポアソン比などの弾性係数・線膨張係数など)
試料によるばらつきが少ない物性値(比熱など)
第一原理計算による導出に適さない物性値
実用的なレベルで正確な値が計算できない物性値(屈折率、誘電率、非線形感受率など励起準位に大きく依存する物性値)
計算コストが非常に高い物性値(熱伝導率やスピン一軌道相互作用を考慮しなければならない物性)
まとめ
分光計測
- 透過スペクトル計測(吸収係数)
- 蛍光スペクトル計測(誘導放出断面積)
- 蛍光時間分解計測(蛍光寿命)
- 最小偏角法(屈折率)
- フーリエ変換赤外分光(赤外吸収端)
分光器を用いた計測
プリズム形状の試料が必要
光学フォノンの並進モード計測
熱物性計測
- レーザーフラッシュ法(熱伝導率)
- 温度変調多重反射計測(屈折率温度係数)
熱拡散係数の実測手法
分光・熱機械計測の総合計測
理論計算
- Judd-Ofelt解析(自然放出寿命)
- 密度汎関数法(弾性係数)
- 直接法によるフォノン計算(比熱)
- 準調和近似によるフォノン計算(熱膨張係数)
蛍光量子効率の評価に必要
大型材料が無くても評価可能
熱伝導率計算に必要
長尺材料が無くても評価可能
References
日本語解説:『マイクロ個体フォトニクス材料:レーザー材料の物性値』
佐藤 庸一, 平等 拓範、レーザー研究37(4) 242-247 2009年4月
- 希土類添加濃度を疑う
Y.Sato and T.Taira, IEEE JSTQE 11, 613 (2005). - 温度を変えると分光特性は変化する
Y.Sato and T.Taira, Opt. Mat. Express 2, 1076 (2012). - 製法や濃度により分光特性は異なる
Y.Sato and T.Taira, Opt. Mat. Express 1, 514 (2011). - 指数関数フィットでの寿命評価は誤り
V. Lupei et al., JOSAB 19, 360 (2002). - 最小偏角法による屈折率計測
Y.Sato and T.Taira, Opt. Mat. Express 4, 876 (2014) - FTIRによる赤外領域の吸収評価
Y.Sato et al., ICL`08, Lyon, France, July 7-11, Tu-P-62 (2008).
- Q1D法による透明体の熱伝導率評価
Y.Sato and T.Taira, Opt. Mat. Express, 14, 10528 (2006). - 比熱の希土類イオン添加濃度依存性
Y.Sato et al., Opt. Mat. 35, 3598 (2009). - 温度変調多重反射計測
Y.Sato and T.Taira, Opt. Mat. Express 4, 876 (2014).
- 単結晶におけるNd-Nd間相互作用解析
V. Lupei et al., Phys. Rev. B 64, 092102 (2001). - Judd-Ofelt解析による量子効率評価
Y.Sato et al., JJAP 41, 5999 (2002). - Hybrid processによる異方性材料評価
Y.Sato and T.Taira, IEEE JSTQE 11, 613 (2005).